Loading...
 
Skip to main content

Creative Event Coordinators

January 10, 2011

The deal as outlined in Complaints Board.com is as follows:
Creative Event Coordinators (CEC) in Houston Texas contacted us in November 2010 asking to rent six weeks of our timeshare in Mexico to a corporate client. They also said they could sell our timeshare, which we opted for. They said a 6.5% commission would be due only after we received proceeds from the sale. We had a lawyer review the contract and CEC agreed to make several changes based on our attorney's recommendation.

We felt good about it at that point.

Then CEC turned the transaction to Capital Closing Services in Kansas City, MO. We were asked to pay about $1,000 for title search...we balked at that, and signed another addendum with CEC stating that reimbursement would be guaranteed by CEC.

We also learned the the original contract for the purchase of our timeshare included a penalty clause to pay them about $3,500 since we were not selling to an immediate family member. We paid this, thinking this was a separate issue between us and the timeshare company.

Then, we were asked to pay taxes to the Mexican government for about $5,000. The argument was that it was the end of the year and the Mexican government was having trouble collecting taxes from Americans after closing. This seemed to make sense so we went ahead and paid it.

We have wired all of these fees to a bank in Mexico; the fees were to be reimbursed by the buyer.

We have since learned that the Mexican tax issue is a red flag for a scam.

For three weeks, Capital Closing has been telling us that our money is being wired, and then comes up with an excuse as to why we have not received it.

We believe we have been scammed. I think it is highly likely that both these companies are working with individuals in Mexico.

We have reported CEC to the Texas Attorney General (they are not licensed by the Texas Real Estate Commission) and we have reported Capital Closing to the Missouri Attorney General. We are going to try and report this through local law enforcement agencies and will prob. seek the assistance of an attorney.

The contracts are documents that appear to be very legal. But, in the end, these companies do not care about the legality of their documents. They have to appear plausible when another attorney looks at them.

In reality, all they want is for the victim to pay fees outside of any escrow. These fees could be for anything from due diligence review, to title to taxes, as we learned above.

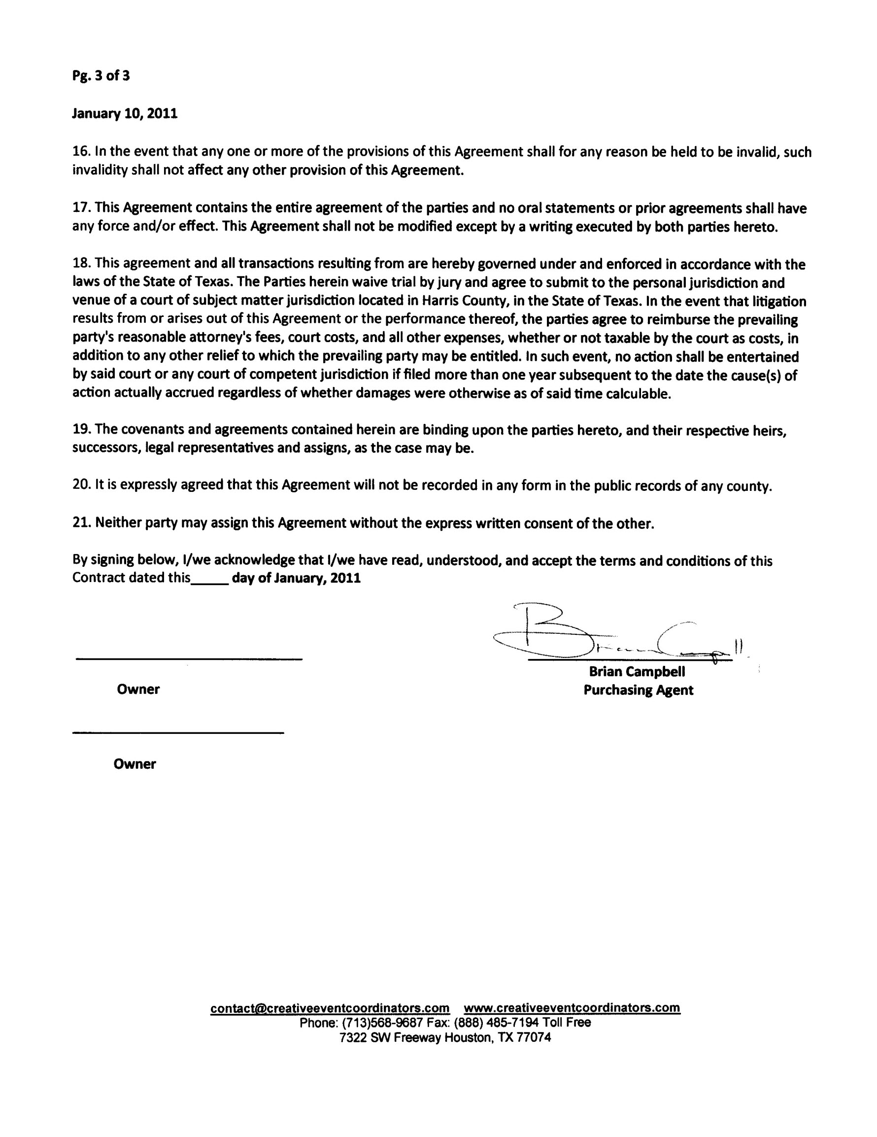
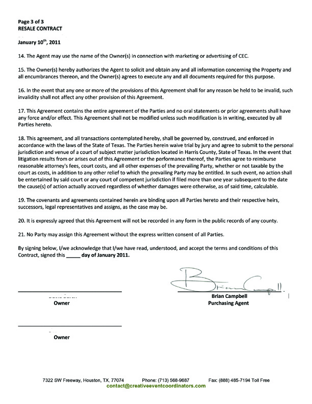
Here are the contracts.

Contracts - January 10, 2011:

  • Creative Events Coordinators Rental Contract



name
Creative Events Coordinators Rental Contract 1
name
Creative Events Coordinators Rental Contract Page 2
name
Creative Events Coordinators Rental Contract Page 3




Important points to keep in mind:

  1. Rental amount: $7,000 per week or thereabouts.

  2. Title Fee - $992.00 or thereabouts, sent to a bank in Mexico. Purported to be reimbursed but none has been yet.

  3. Mexican Tax - 5% or more of the total to receive. Paid up front.

  4. Cancellation Fee - $3,500 if you change your mind.

  5. Limitations in Contract - one year to bring action against the company. Otherwise ability to bring action might be waived.

  6. An Aimfair member has determined through privileged information that the company offers dishonest, misleading and scam type products that are worthless.

We welcome other comments you may wish to add. Send them to infoaboutus@aimfair.com.

Thank you for your contribution!

Return to Possible Scams ...OR... Return to Timesharing